Εισαγωγή
Στην ηχομόνωση και την αντικραδασμική προστασία, οι λεπτομέρειες κάνουν τη διαφορά. Ένας από τους πιο κρίσιμους δείκτες είναι η δυναμική ακαμψία (dynamic rigidity – s′).
Η κατανόησή της καθορίζει αν ένα πλωτό δάπεδο θα απορροφήσει αποτελεσματικά τους κραδασμούς ή θα αρχίσει να πάλλεται σαν τύμπανο μετά από λίγο καιρό.
1. Τι είναι η Dynamic Rigidity (s′)
Η dynamic rigidity μετρά πόσο «σκληρά» ή «μαλακά» αντιδρά ένα αντικραδασμικό όταν δέχεται δονήσεις.
Μετριέται σε MN/m³ (ISO 9052-1).
Μικρό s′ = καλύτερη απορρόφηση κραδασμών, αλλά και μεγαλύτερη παραμόρφωση υπό φορτίο.
Μεγάλο s′ = σταθερό σύστημα με λιγότερη ηχομόνωση.
2. Το «μαλακότερο» δεν είναι πάντα το «καλύτερο»
Σε χαμηλά φορτία, τα μαλακά υλικά (μικρό s′) φαίνονται εντυπωσιακά στην αρχή, αλλά υποχωρούν στο χρόνο (creep).
Τα πιο σταθερά υλικά διατηρούν την ακαμψία τους και τη στάθμη του δαπέδου, εξασφαλίζοντας ότι η ακουστική απόδοση μένει σταθερή μετά από χρόνια χρήσης.
3. Η επίδραση στην ηχομόνωση
Εικόνα 1 – Σχέση Dynamic Rigidity και ΔLw

Η ακουστική απόδοση (ΔLw) αυξάνεται όσο μειώνεται το s′, μέχρι ένα σημείο όπου εμφανίζεται υπερβολική παραμόρφωση.
Εικόνα 2 – Dynamic Rigidity και Μακροχρόνια Σταθερότητα
4. Η ισορροπία μεταξύ απόδοσης και σταθερότητας
Εικόνα 3 – Επίδραση της Φόρτισης στην Ακουστική Απόδοση
Το ιδανικό αντικραδασμικό δεν είναι το πιο μαλακό, αλλά εκείνο που ταιριάζει στο εκάστοτε φορτίο.
Μικρό s′ για ελαφριές εφαρμογές (γραφεία, κατοικίες), μεσαίο για πλωτές τσιμεντοκονίες, μεγαλύτερο για μηχανικά φορτία.
Στα 100 – 150 kg/m² το ισορροπημένο s′ (40–60 MN/m³) είναι το κλειδί για σταθερότητα και ηχομόνωση.

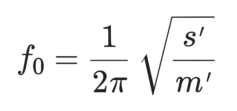
5. Η Σχέση Dynamic Rigidity και Ιδιοσυχνότητας (f₀)
Κάθε πλωτό δάπεδο λειτουργεί σαν ένα μικρό “σύστημα μάζας–ελατηρίου”:
η πλωτή τσιμεντοκονία (μάζα) στηρίζεται πάνω στο αντικραδασμικό υλικό (ελατήριο).
Αυτό το σύστημα έχει μια δική του ιδιοσυχνότητα (f₀) — μια συχνότητα δηλαδή στην οποία τείνει να ταλαντώνεται.
Η φυσική μάς λέει ότι:

όπου s′ είναι η δυναμική ακαμψία και m′ η μάζα του δαπέδου ανά τετραγωνικό μέτρο.
Από αυτή τη σχέση προκύπτει ότι όσο μειώνεται η δυναμική ακαμψία (s′), τόσο χαμηλώνει η ιδιοσυχνότητα (f₀).
Με απλά λόγια:
ένα πιο “μαλακό” αντικραδασμικό κάνει το δάπεδο να αντιδρά πιο αργά στις δονήσεις — και αυτό σημαίνει καλύτερη απομόνωση θορύβων και κραδασμών.
Ωστόσο, αν το υλικό γίνει υπερβολικά μαλακό, το σύστημα αρχίζει να “αναπνέει” υπερβολικά, δημιουργώντας αστάθεια ή το λεγόμενο drumming effect.
Στην πράξη, για δάπεδα με πλωτή τσιμεντοκονία, στόχος είναι η ιδιοσυχνότητα να παραμένει μεταξύ 20–30 Hz· μια περιοχή όπου η απομόνωση είναι υψηλή, χωρίς να χαθεί η μηχανική σταθερότητα.
Εκεί ακριβώς φαίνεται η σημασία της σωστής επιλογής δυναμικής ακαμψίας: το ιδανικό s′ “κουμπώνει” πάνω στη μάζα του δαπέδου, εξασφαλίζοντας ισορροπία ανάμεσα σε σιωπή και σταθερότητα.

Disclaimer : Όλα τα παραπάνω διαγράμματα και τιμές παρουσιάζονται με ενδεικτικό και εκπαιδευτικό χαρακτήρα και σκοπό την οπτική κατανόηση της σχέσης μεταξύ δυναμικής ακαμψίας (s′), ηχομονωτικής απόδοσης (ΔLw), ιδιοσυχνότητας (f₀) και μηχανικής σταθερότητας. Τα δεδομένα βασίζονται σε θεωρητικούς υπολογισμούς και τυπικές τιμές μαζών και φορτίων, σύμφωνα με τα πρότυπα ISO 9052-1 και ISO 10140-3. Δεν αντιπροσωπεύουν εργαστηριακά αποτελέσματα ή πιστοποιημένες μετρήσεις συγκεκριμένων προϊόντων. Για κάθε πραγματική εφαρμογή απαιτείται μελέτη βάσει των τεχνικών χαρακτηριστικών και των συνθηκών φόρτισης του έργου.
6. Συμπέρασμα
Η δυναμική ακαμψία είναι ο παράγοντας που διαχωρίζει την επιστημονικά σωστή μελέτη από την τυχαία εφαρμογή.
Στη Stop Sound Constructions, κάθε λύση επιλέγεται με βάση πραγματικές μετρήσεις ISO 9052-1 και την πραγματική συμπεριφορά του υλικού στο χρόνο.
Γιατί η σωστή ηχομόνωση δεν είναι θεωρία – είναι ισορροπία μεταξύ φυσικής, υλικών και εμπειρίας.